petak, 16. listopada 2020.

Formula Definition Of Derivative

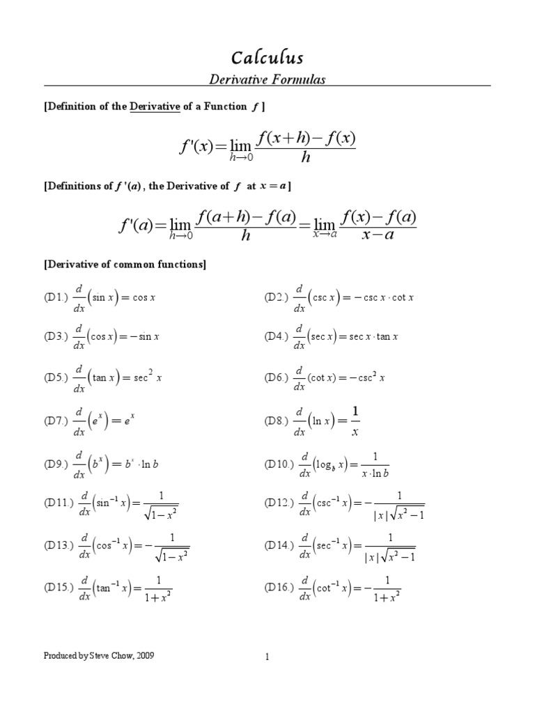
Formula Definition Of Derivative. Note that this theorem does not work in reverse. If this limit exists, then we can say that the function f(x) is differentiable at x_0.

Formal Definition Of Partial Derivatives Video Khan Academy
Formal Definition Of Partial Derivatives Video Khan Academy from img.youtube.com
To derive a mathematical formula, you rely on axioms, logic, and other results that have been proven through some combination of axioms and logic. The derivative of a function f(x) is written f'(x) and describes the rate of change of f(x). Y is a function y = y(x) c = constant, the derivative(y') of a constant is 0.

Some of the important formulas of derivative are as follows and logarithmic deviate of the hyperbolic function and their inverses recall the definition of the trigonometric functions for higher derivatives is also used:

Then make δx shrink towards zero. In examples like the ones above and the exercises below, you are required to know how to find the derivative function using the definition of the derivative. It can be written in terms of any variable and function but principle is same. To derive a mathematical formula, you rely on axioms, logic, and other results that have been proven through some combination of axioms and logic.


Nema komentara:

Objavi komentar

Iklan Atas Artikel

Iklan Tengah Artikel 1

Iklan Tengah Artikel 2

Iklan Bawah Artikel