srijeda, 15. srpnja 2020.

Maltose Molecular Formula

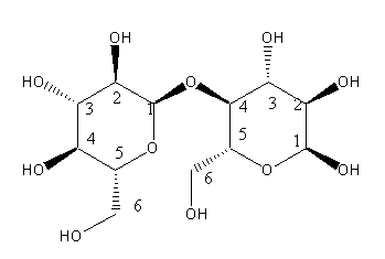
Maltose Molecular Formula. Maltose is a disaccharide combination of the two molecules of monosaccharides glucose joined with an α(1→4) bond, formed from a condensation reaction. …smaller carbohydrate molecules such as maltose (a molecule composed of two glucose maltose, a product of the breakdown of starches during digestion, consists of two molecules of glucose.

Disaccharides Definition Structure Sucrose Lactose Maltose Examples
Disaccharides Definition Structure Sucrose Lactose Maltose Examples from d1whtlypfis84e.cloudfront.net
A molecular formula consists of the chemical symbols for the constituent elements followed by the molecular formula for a compound can be the same as or a multiple of the compound's empirical. Use uppercase for the first character in the. Commercial maltose is produced from starch that has been treated with barley malt.

Find molecular formula and molecular weight of maltose or find chemical formula or molecular formula of different material, calculate it molecular weight and find related information.

It will calculate the total mass along with the elemental composition and mass of each element in the compound. Convert grams maltose to moles or moles maltose to grams. Enter the molecular formula of the substance. Structural chemical formula and molecular model of maltose.


Nema komentara:

Objavi komentar

Iklan Atas Artikel

Iklan Tengah Artikel 1

Iklan Tengah Artikel 2

Iklan Bawah Artikel